Introduction
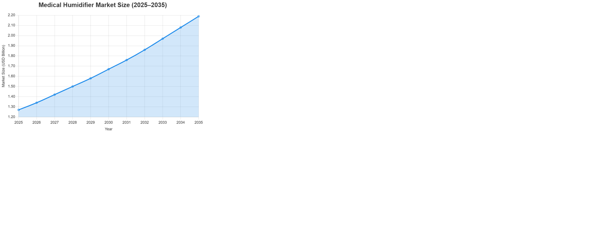
The medical humidifier market is projected to experience steady growth over the forecast period from 2025 to 2035, driven by a compound annual growth rate (CAGR) of 5.63%. The market is expected to expand from an estimated USD 1.27 billion in 2025 to USD 2.19 billion by 2035. This outlook is based on increasing demand for respiratory care devices, technological advancements, and the rising prevalence of chronic respiratory conditions. Medical humidifiers play a critical role in adding moisture to medical gases, preventing airway dryness, and enhancing patient comfort in applications such as mechanical ventilation, CPAP therapy, and anesthesia.
This report provides a strategic analysis, including market size projections, share by segments, trends, growth drivers, and key players. Visualizations such as graphs, charts, and pie charts are described below with data representations; if you would like me to generate actual images for these (e.g., using tools like matplotlib), please confirm, and I can proceed.
Market Size Projections
The market size is projected to grow consistently at the specified CAGR. Below is a table outlining the annual market value from 2025 to 2035 (in USD billion):
|
Year |
Market Size (USD Billion) |
|
2025 |
1.27 |
|
2026 |
1.34 |
|
2027 |
1.42 |
|
2028 |
1.50 |
|
2029 |
1.58 |
|
2030 |
1.67 |
|
2031 |
1.76 |
|
2032 |
1.86 |
|
2033 |
1.97 |
|
2034 |
2.08 |
|
2035 |
2.19 |
This projection assumes a starting value in 2025 aligned with the given end-value and CAGR, reflecting compounded growth.
Strategic Analysis
The medical humidifier market is moderately fragmented, with opportunities for innovation in portable and smart devices. Growth is supported by rising healthcare demands, but challenges like high maintenance costs and infection risks could hinder adoption. Strategic recommendations include:
- Investing in R&D for self-sanitizing and connected humidifiers to address hygiene concerns and integrate with telehealth.
- Expanding homecare solutions to capitalize on the shift from hospital to home-based care.
- Partnerships between key players and healthcare providers to enhance distribution and customization.
- Focus on cost-effective disposable components to reduce operational burdens.
Opportunities lie in emerging technologies like IoT-enabled devices for real-time monitoring, which could improve patient outcomes and market penetration.
Market Share by Segments
Market share data is segmented by product type, application, patient type, and end-user, based on industry reports. Specific percentage shares are not uniformly available across sources, but qualitative dominance and growth trends are noted below. (Note: Exact shares can vary; these are synthesized from trends indicating largest segments.)

By Product Type
- Heated Humidifiers: Largest share, accounting for approximately 40-50% of the market, due to their efficiency in critical care settings. They are preferred for mechanical ventilation and are expected to grow at the highest rate.
- Heat and Moisture Exchangers (HMEs): Around 25-30%, fastest-growing segment owing to cost-effectiveness and disposability in short-term use.
- Bubble Humidifiers: 15-20%, used in simpler applications like oxygen therapy.
- Accessories (e.g., filters, chambers): 10-15%, supporting overall system maintenance.

By Application
- Intensive Care Units (ICUs): Largest share (approximately 40-50%), driven by the need for humidified gases in ventilator-dependent patients.
- Neonatal Care: 20-25%, highest growth rate due to rising preterm births and respiratory support needs.
- Respiratory Therapy: 20-25%, including treatments for COPD and sleep apnea.
- Others (e.g., anesthesia): 10-15%.
- Adult Patients: Largest segment (~50-60%), fueled by chronic conditions like COPD and asthma.
- Neonatal Patients: 20-25%, driven by preterm care.
- Pediatric Patients: 15-20%.
By End-User
- Hospitals & Ambulatory Surgery Centers: Dominant (~60%), due to high ICU admissions.
- Home Care Settings: Growing rapidly (~25%), as care shifts to homes for cost savings.
- Specialty Clinics & Others: ~15%.
Trends
- Shift to portable and homecare humidifiers for chronic disease management.
- Integration of smart technologies, including digital controls, app connectivity, and self-sanitizing features to reduce infection risks.
- Rising demand for disposable HMEs to minimize maintenance costs and contamination.
- Focus on energy-efficient and eco-friendly designs amid sustainability concerns.
- Post-pandemic emphasis on respiratory health, boosting adoption in therapy for conditions like pneumonia and lung infections.
Growth Drivers
- Increasing prevalence of respiratory diseases (e.g., COPD affecting over 380 million globally, asthma, and sleep apnea).
- Aging population requiring long-term respiratory support.
- Higher ICU and NICU admissions, including for preterm births.
- Technological advancements in humidification systems for better patient comfort and outcomes.
- Government investments in healthcare infrastructure and respiratory care initiatives.
- Expansion of homecare due to rising healthcare costs and preference for at-home treatment.
Challenges include infection risks from poor maintenance (e.g., ventilator-associated pneumonia) and high costs of disposables, which may restrain growth in budget-constrained settings.
Key Players
The market features a mix of established global leaders and specialized companies. Prominent players include:
- Fisher & Paykel Healthcare Limited – Dominant in respiratory humidifiers, with innovations like the F&P My820 for home ventilation.
- ResMed Inc. – Strong in CPAP-integrated humidifiers and sleep apnea solutions.
- Drägerwerk AG & Co. KGaA – Focus on critical care and ICU applications.
- Koninklijke Philips N.V. – Offers integrated systems for respiratory therapy.
- Vincent Medical Holdings Limited – Provides cost-effective options for various settings.
- Medline Industries, LP – Emphasizes accessories and distribution.
- Hamilton Medical – Specializes in ventilation-integrated humidifiers.
- GaleMed Corporation – Known for neonatal and pediatric products.
- Eakin Healthcare – Focuses on advanced HMEs.
- Others: Besmed Health Business Corp, Intersurgical Ltd, Precision Medical Inc, and Trudell Medical Ltd.
Table of Content
1. Market Overview
1.1 Research Methodology
1.2 Definitions and Scope
2.Market - Executive Summary
2.1 Market Opportunity
2.2 Key Trends by Product Segments
2.3 Key Trends by Geography
3. Medical Humidifier Market Landscape
3.1 Comparative analysis
3.1.1 Product Benchmarking - Top 10 companies
3.1.2 Top 5 Financials Analysis
3.1.3 Market Value split by Top 10 companies
3.1.4 Pricing Analysis
4. Market Forces
4.1 Market Drivers
4.2 Market Constraints
4.3 Market Challenges
4.4 Porter’s Five Forces
4.4.1 Bargaining Power of Suppliers
4.4.2 Bargaining Power of Consumers
4.4.3 Threat of New Entrants
4.4.4 Threat of Substitute Products and Services
4.4.5 Degree of Competition
5. Medical Humidifier Market - Strategic Analysis
5.1 Value Chain
5.2 Opportunity
5.3 Patent Analysis
6. Global Medical Humidifier Market Outlook
6.1 Global Medical Humidifier Market Outlook, by Type, 2025-2035
6.2 Global Medical Humidifier Market Outlook, by Application, 2025-2035
7. Asia Pacific Medical Humidifier Market Outlook
7.1 Key Snapshot
7.2 Asia Pacific Medical Humidifier Market Outlook, by Type, 2025-2035
7.3 Asia Pacific Medical Humidifier Market Outlook, by Application, 2025-2035
7.4 Asia Pacific Medical Humidifier Market Outlook, by Country, 2025-2035
8. North America Medical Humidifier Market Outlook
8.1 Key Snapshot
8.2 North America Medical Humidifier Market Outlook, by Type, 2025-2035
8.3 North America Medical Humidifier Market Outlook, by Application, 2025-2035
8.4 North America Medical Humidifier Market Outlook, by Country, 2025-2035
9. Europe Medical Humidifier Market Outlook
9.1 Key Snapshot
9.2 Europe Medical Humidifier Market Outlook, by Type, 2025-2035
9.3 Europe Medical Humidifier Market Outlook, by Application, 2025-2035
9.4 Europe Medical Humidifier Market Outlook, by Country, 2025-2035
10. Latin America Medical Humidifier Market Outlook
10.1 Key Snapshot
10.2 Latin America Medical Humidifier Market Outlook, by Type, 2025-2035
10.3 Latin America Medical Humidifier Market Outlook, by Application, 2025-2035
10.4 Latin America Medical Humidifier Market Outlook, by Country, 2025-2035
11. Middle East and Africa Medical Humidifier Market Outlook
11.1 Key Snapshot
11.2 Middle East and Africa Medical Humidifier Market Outlook, by Type, 2025-2035
11.3 Middle East and Africa Medical Humidifier Market Outlook, by Application, 2025-2035
11.4 Middle East and Africa Medical Humidifier Market Outlook, by Country, 2025-2035
12. Medical Humidifier Market -Entropy
12.1 New Product Launches
12.2 M&A, Collaborations, JVs, and Partnerships
13. Medical Humidifier Market Company Analysis
13.1 Market Share Analysis, Financial Analysis, Product Synopsis, Recent News and Developments
13.2 Company 1
13.3 Company 2
13.4 Company 3
13.5 Company 4
13.6 Company 5
13.7 Company 6
13.8 Company 7
13.9 Company 8
13.10 Company 9
13.11 Company 10
Related Reports
-
Laser Dentistry Devices Market Report- Global Strategic Analysis, Size, Share, Trend, and Forecast (2025-2035)
- Published: July, 2025
- Price: $2950
- Sample Request
-
Meditation Market Report- Global Strategic Analysis, Size, Share, Trend, and Forecast (2025-2035)
- Published: July, 2025
- Price: $2950
- Sample Request
-
Point-of-Care Biopsy Market Report- Global Strategic Analysis, Size, Share, Trend, and Forecast (2025-2035)
- Published: July, 2025
- Price: $2950
- Sample Request
-
Pediatric Patient Handling Equipment Market Report- Global Strategic Analysis, Size, Share, Trend, and Forecast (2025-2035)
- Published: July, 2025
- Price: $2950
- Sample Request
