Market Size and Forecast (2025–2035)
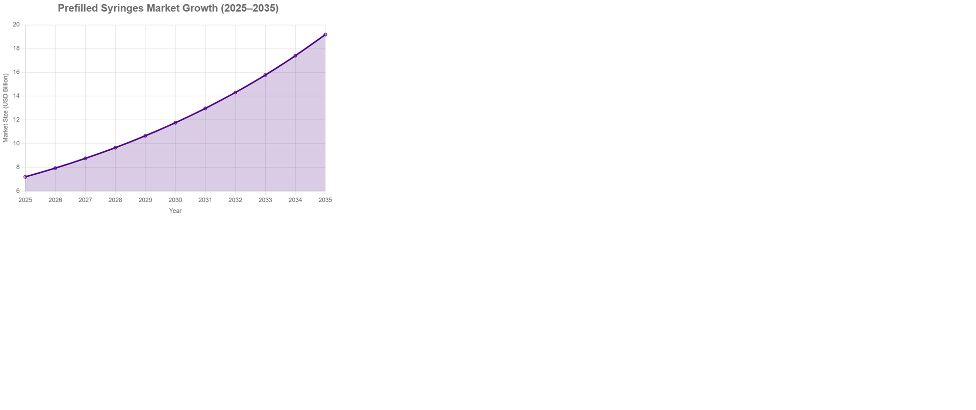
The prefilled syringes market is projected to experience robust growth over the forecast period, starting from approximately USD 7.2 billion in 2025 and reaching USD 19.19 billion by 2035, driven by a compound annual growth rate (CAGR) of 10.3%. This forecast reflects increasing adoption in drug delivery systems, particularly for biologics and self-administration devices.
To illustrate the year-over-year growth, the following table presents projected market values, calculated based on the specified CAGR applied progressively from the 2025 base value:
|
Year |
Projected Market Value (USD Billion) |
|
2025 |
7.20 |
|
2026 |
7.94 |
|
2027 |
8.76 |
|
2028 |
9.66 |
|
2029 |
10.66 |
|
2030 |
11.76 |
|
2031 |
12.97 |
|
2032 |
14.31 |
|
2033 |
15.78 |
|
2034 |
17.41 |
|
2035 |
19.19 |
Note: Values are rounded to two decimal places and derived from annual compounding at 10.3%.
Market Share by Segments
The market is segmented by material, type, usability, number of chambers, and application. Based on industry analyses, glass-based syringes dominate due to their compatibility with biologics, while plastic syringes are gaining traction for cost-effectiveness and reduced breakage risk. Disposable syringes hold the majority share for safety and convenience, and single-chamber designs are prevalent for standard applications.
The following table summarizes estimated market shares by key segments (as of recent industry data, projected trends toward 2035):
|
Segment Category |
Sub-Segment |
Estimated Market Share (%) |
|
Material |
Glass |
65% |
|
Plastic |
35% |
|
|
Type |
Conventional |
40% |
|
Safety |
60% |
|
|
Usability |
Disposable |
90% |
|
Reusable |
10% |
|
|
Number of Chambers |
Single-Chamber |
80% |
|
Dual-Chamber |
20% |
|
|
Application |
Diabetes |
30% |
|
Anaphylaxis |
15% |
|
|
Rheumatoid Arthritis |
20% |
|
|
Oncology |
15% |
|
|
Others (e.g., Vaccines, Cardiovascular) |
20% |
These shares highlight the dominance of disposable, single-chamber glass syringes in applications like diabetes management, where precision and ease of use are critical.
Trends
Key trends shaping the prefilled syringes market include:
- Rising Demand for Self-Administration Devices: Patient preference for convenience and cost efficiency is driving adoption, especially in home healthcare settings.
- Advancements in Biologics and Biosimilars: Specialized delivery systems are needed for these therapies, boosting prefilled syringe usage.
- Focus on Safety Features: Incorporation of needlestick prevention, auto-injectors, and RFID integration to enhance user safety.
- Integration of AI and Affordable Innovations: AI-driven patient experience improvements and R&D for cost-effective options are emerging.
- Shift to Eco-Friendly and Smart Syringes: Increasing emphasis on sustainable materials and smart features like dosage tracking.
Growth Drivers
The market's expansion is fueled by several key drivers:
- Increasing Prevalence of Chronic Diseases: Rising cases of diabetes, rheumatoid arthritis, oncology, and cardiovascular disorders necessitate reliable injectable delivery.
- Preference for Injectable Drugs and Self-Care: Growth in biologics, vaccines, and home-based therapies reduces hospital visits and improves compliance.
- Regulatory Support and Safety Concerns: Legislations preventing needlestick injuries and promoting single-use devices.
- Technological Advancements: Innovations in large-volume delivery, self-injection, and pre-fillable components.
- R&D Investments and Patent Growth: Focus on affordable, versatile syringes for immunization and pain management.
Key Players
The competitive landscape features established players focusing on R&D, partnerships, and product launches. Prominent companies include:
- Becton Dickinson and Company (BD)
- Gerresheimer AG
- SCHOTT AG
- West Pharmaceutical Services, Inc.
- Baxter International Inc.
- Terumo Corporation
- Nipro Corporation
- Vetter Pharma International GmbH
- Stevanato Group
- SHL Medical AG
These firms hold significant market shares through strategies like acquisitions, collaborations, and innovations in safety syringes.
Strategic Analysis
Strategically, the market emphasizes value chain optimization, from raw material sourcing (e.g., glass/polymer) to distribution via hospital and retail pharmacies. Opportunities lie in patent-driven innovations, such as dual-chamber syringes for drug stability, and inorganic growth via mergers. Competitive analysis reveals a focus on pricing, financial performance, and market share among top players, with R&D targeting biologics compatibility and reduced contamination risks. Challenges include high manufacturing costs and regulatory compliance, but untapped potential in self-care and biosimilars offers long-term growth.
Yes.
|
Year |
Projected Market Value (USD Billion) |
|
2025 |
7.20 |
|
2026 |
7.94 |
|
2027 |
8.76 |
|
2028 |
9.66 |
|
2029 |
10.66 |
|
2030 |
11.76 |
|
2031 |
12.97 |
|
2032 |
14.31 |
|
2033 |
15.78 |
|
2034 |
17.41 |
|
2035 |
19.19 |


Table of Content
1. Market Overview
1.1 Research Methodology
1.2 Definitions and Scope
2.Market - Executive Summary
2.1 Market Opportunity
2.2 Key Trends by Product Segments
2.3 Key Trends by Geography
3. Prefilled Syringes Market Landscape
3.1 Comparative analysis
3.1.1 Product Benchmarking - Top 10 companies
3.1.2 Top 5 Financials Analysis
3.1.3 Market Value split by Top 10 companies
3.1.4 Pricing Analysis
4. Market Forces
4.1 Market Drivers
4.2 Market Constraints
4.3 Market Challenges
4.4 Porter’s Five Forces
4.4.1 Bargaining Power of Suppliers
4.4.2 Bargaining Power of Consumers
4.4.3 Threat of New Entrants
4.4.4 Threat of Substitute Products and Services
4.4.5 Degree of Competition
5. Prefilled Syringes Market - Strategic Analysis
5.1 Value Chain
5.2 Opportunity
5.3 Patent Analysis
6. Global Prefilled Syringes Market Outlook
6.1 Global Prefilled Syringes Market Outlook, by Type, 2025-2035
6.2 Global Prefilled Syringes Market Outlook, by Application, 2025-2035
7. Asia Pacific Prefilled Syringes Market Outlook
7.1 Key Snapshot
7.2 Asia Pacific Prefilled Syringes Market Outlook, by Type, 2025-2035
7.3 Asia Pacific Prefilled Syringes Market Outlook, by Application, 2025-2035
7.4 Asia Pacific Prefilled Syringes Market Outlook, by Country, 2025-2035
8. North America Prefilled Syringes Market Outlook
8.1 Key Snapshot
8.2 North America Prefilled Syringes Market Outlook, by Type, 2025-2035
8.3 North America Prefilled Syringes Market Outlook, by Application, 2025-2035
8.4 North America Prefilled Syringes Market Outlook, by Country, 2025-2035
9. Europe Prefilled Syringes Market Outlook
9.1 Key Snapshot
9.2 Europe Prefilled Syringes Market Outlook, by Type, 2025-2035
9.3 Europe Prefilled Syringes Market Outlook, by Application, 2025-2035
9.4 Europe Prefilled Syringes Market Outlook, by Country, 2025-2035
10. Latin America Prefilled Syringes Market Outlook
10.1 Key Snapshot
10.2 Latin America Prefilled Syringes Market Outlook, by Type, 2025-2035
10.3 Latin America Prefilled Syringes Market Outlook, by Application, 2025-2035
10.4 Latin America Prefilled Syringes Market Outlook, by Country, 2025-2035
11. Middle East and Africa Prefilled Syringes Market Outlook
11.1 Key Snapshot
11.2 Middle East and Africa Prefilled Syringes Market Outlook, by Type, 2025-2035
11.3 Middle East and Africa Prefilled Syringes Market Outlook, by Application, 2025-2035
11.4 Middle East and Africa Prefilled Syringes Market Outlook, by Country, 2025-2035
12. Prefilled Syringes Market -Entropy
12.1 New Product Launches
12.2 M&A, Collaborations, JVs, and Partnerships
13. Prefilled Syringes Market Company Analysis
13.1 Market Share Analysis, Financial Analysis, Product Synopsis, Recent News and Developments
13.2 Company 1
13.3 Company 2
13.4 Company 3
13.5 Company 4
13.6 Company 5
13.7 Company 6
13.8 Company 7
13.9 Company 8
13.10 Company 9
13.11 Company 10
Related Reports
-
Laser Dentistry Devices Market Report- Global Strategic Analysis, Size, Share, Trend, and Forecast (2025-2035)
- Published: July, 2025
- Price: $2950
- Sample Request
-
Meditation Market Report- Global Strategic Analysis, Size, Share, Trend, and Forecast (2025-2035)
- Published: July, 2025
- Price: $2950
- Sample Request
-
Point-of-Care Biopsy Market Report- Global Strategic Analysis, Size, Share, Trend, and Forecast (2025-2035)
- Published: July, 2025
- Price: $2950
- Sample Request
-
Pediatric Patient Handling Equipment Market Report- Global Strategic Analysis, Size, Share, Trend, and Forecast (2025-2035)
- Published: July, 2025
- Price: $2950
- Sample Request
